1950'lerde Almanya’da geliştirilen Talidomid, başta “ mide bulantısını ve uykusuzluğu azaltıyor” denilerek tam güvenli diye piyasaya sürüldü.
Ama kimse bunun binlerce bebeğin hayatını sonsuza dek değiştireceğini bilmiyordu. O dönemde ilaçlar, hamileler üzerinde test edilmeden piyasaya sürülüyordu.
Talidomid’in doğum kusurlarına yol açabileceği bilinmiyordu çünkü bu konuda test edilmemişti. Bunu daha büyük facia yapan da ilacı daha çok hamile kadınlar kullanmasıydı çünkü gebelik bulantılarından ve hamilelik kaynaklı uyku sorunlarından mustarip olanlar kesim daha çok bu kesimdi. Ayrıca Talidomid reçetesiz olarak alınabiliyordu ve reklam maksatıyla doktorlara dağıtılıyordu bu da onun o dönem tanınırlığını artırdı.
ABD’de ilacın ruhsatı çıkmak üzereyken, bir FDA çalışanı Dr. Frances Kelsey, “Yeterli güvenlik verisi yok” diyerek onayı durdurdu.
Bu kararı sayesinde binlerce Amerikalı bebek korunmuş oldu. Ki ABD zaten dönemine göre ilaçlar konusunda daha hazırlıklı bir ülkeydi. Bir çok güvenlik prosedörü ve bir çok alanında bilgi sahibi uzmanla çalışan bir FDA vardı. FDA, 20 kadar ülkede Kanada'da da dahil onay almış ilaca onay vermedi Firma, FDA'e sürekli olumlu sonuçlar gönderiyordu ama Frances Kelsey'i ikna edemiyorlardı. Kelsey, yalnızca ilaç firmasından gelen bilgilere bakmıyordu, bağımsız laboratuvarların sonuçlarını da göz önünde bulunduruyordu.
Türkiye nasıl kurtuldu diye gelirsek Türkiye'nin bu felaketi atlatması ise veteriner hekim olan Ordinaryus Prof. Dr. Süreyya Tahsin Aygün ve Ankara Üniversitesi Tıp Fakültesi Farmakoloji Kürsüsü başkanı Prof. Dr. Şükrü Kaymakçalan etkili olmuştur Türkiye zaten ilaçları geriden takip ediyordu ilk zamanlarda zaten ilaç Türkiye'ye ulaşmadı ancak geldiği zaman o zamanki Sağlık Bakanlığı, bu iki bilim insanından aldığı bilgiler doğrultusunda ilaca ruhsat vermedi. Kaymakçalan, ilacın toksisite analizinin yeterli olmadığı yönünde görüş bildirirken Aygün ise yaptığı bazı deneylerde tavuk embriyolarında gelişim sorunu gözlemlemişti. Bunun sayesinde Türkiye bu faciadan etkilenmedi.
Peki Talidomid günümüzde kullanılıyor mu?
Evet. Ama çok sıkı kontrol altında ve farklı amaçlarla. Facianın ardından uzun süre yasaklanan Talidomid, yıllar sonra bazı özel hastalıklarda etkili olduğu keşfedilince yeniden, dikkatli şekilde kullanılmaya başlandı. Multipl Miyelom (bir tür kemik iliği kanseri) ve Lepra (cüzzam) kaynaklı ciddi deri lezyonları tedavisinde olumlu sonuçlar vermiştir. Ayrıca ilaç hakkında yapılan çalışmalarda ilacın hamilelerdeki toksik etkisinin gebeliğin 42. gününe kadar olduğu görülmüştür. yani talidomid anne karnındaki bebeğe her zaman zarar vermiyor genelde 20-22 günlük bir aralıkta etkilemektedir. Yİne de tabi hamilelikte farklı ilaç tercihleri kullanılmaktadır. Talidomid günümüzde hâlâ kullanılıyor ama sadece faydalı olan (R)-enantiyomer üretiliyor. Ancak bu form bile vücutta (S)-formuna dönüşebildiği için, ilacın kullanımı hamilelerde kullanımı yine sakıncalı. Bu olay, bize kiralite farkının hayati önemini gösterdi.
Peki enantiyomer nedir ? Kimyada "kiralite", bir molekülün ayna görüntüsünün kendisiyle çakışmaması durumudur. Tıpkı sağ ve sol el gibi düşünebilirsiniz Benzer görünürler ama üst üste koyamazsın işte buna "enantiyomer" denir. Bunu niye anlattım size peki çünkü bu durum ilaçlarda kiral analiz ve enantiyomer saflığının çok önemli olduğunu göstermekte. Mesela bu ilacın bir formu zararlı iken bir formu faydalı olabiliyor etkileri bambaşka olabiliyor.
İlaçların ruhsatlanması için güvenlik verilerinin ne kadar kritik olduğu anlaşıldı. Hamilelerde ilaç kullanımı konusu çok daha sıkı denetlenmeye başladı. İlaçların piyasaya çıkmadan önce insanlar üzerindeki uzun vadeli etkilerinin mutlaka test edilmesi gerektiği fark edildi. Ayrıca bilimin zararlı diye hemen bir şeyi çöpe atmadığını yapıaln araştırmalarla farklı yönünü keşfedebileceğimizi gösterdi ve belki de bu facia sonrası alınan önlemlerle daha büyük facialarının önüne geçildi.
Kaynak olarka Evrim Ağacı'nı kullansam da bu oldukça tıpta ve eczacılıkta bilinen konu büyük ölcüde kendi yorumlarımı katarak sadece temel bazı bilgileri doğru vermek için kaynağa ihtiyaç duydum.
Ama kimse bunun binlerce bebeğin hayatını sonsuza dek değiştireceğini bilmiyordu. O dönemde ilaçlar, hamileler üzerinde test edilmeden piyasaya sürülüyordu.
Talidomid’in doğum kusurlarına yol açabileceği bilinmiyordu çünkü bu konuda test edilmemişti. Bunu daha büyük facia yapan da ilacı daha çok hamile kadınlar kullanmasıydı çünkü gebelik bulantılarından ve hamilelik kaynaklı uyku sorunlarından mustarip olanlar kesim daha çok bu kesimdi. Ayrıca Talidomid reçetesiz olarak alınabiliyordu ve reklam maksatıyla doktorlara dağıtılıyordu bu da onun o dönem tanınırlığını artırdı.
Peki Bunun Sonunda Ne Oldu?
İlacı kullanan hamile kadınların bebekleri kolsuz, bacaksız veya organları eksik doğmaya başladı. Bu duruma “fokomeli” deniyor: Kollar ya da bacaklar hiç gelişmiyor ya da çok kısa kalıyor. Dünya genelinde 10.000’den fazla bebek bu şekilde doğdu.Amerika ve Türkiye Nasıl Kurtuldu?
ABD’de ilacın ruhsatı çıkmak üzereyken, bir FDA çalışanı Dr. Frances Kelsey, “Yeterli güvenlik verisi yok” diyerek onayı durdurdu.
Bu kararı sayesinde binlerce Amerikalı bebek korunmuş oldu. Ki ABD zaten dönemine göre ilaçlar konusunda daha hazırlıklı bir ülkeydi. Bir çok güvenlik prosedörü ve bir çok alanında bilgi sahibi uzmanla çalışan bir FDA vardı. FDA, 20 kadar ülkede Kanada'da da dahil onay almış ilaca onay vermedi Firma, FDA'e sürekli olumlu sonuçlar gönderiyordu ama Frances Kelsey'i ikna edemiyorlardı. Kelsey, yalnızca ilaç firmasından gelen bilgilere bakmıyordu, bağımsız laboratuvarların sonuçlarını da göz önünde bulunduruyordu.
Türkiye nasıl kurtuldu diye gelirsek Türkiye'nin bu felaketi atlatması ise veteriner hekim olan Ordinaryus Prof. Dr. Süreyya Tahsin Aygün ve Ankara Üniversitesi Tıp Fakültesi Farmakoloji Kürsüsü başkanı Prof. Dr. Şükrü Kaymakçalan etkili olmuştur Türkiye zaten ilaçları geriden takip ediyordu ilk zamanlarda zaten ilaç Türkiye'ye ulaşmadı ancak geldiği zaman o zamanki Sağlık Bakanlığı, bu iki bilim insanından aldığı bilgiler doğrultusunda ilaca ruhsat vermedi. Kaymakçalan, ilacın toksisite analizinin yeterli olmadığı yönünde görüş bildirirken Aygün ise yaptığı bazı deneylerde tavuk embriyolarında gelişim sorunu gözlemlemişti. Bunun sayesinde Türkiye bu faciadan etkilenmedi.
Peki Talidomid günümüzde kullanılıyor mu?
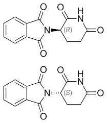
Evet. Ama çok sıkı kontrol altında ve farklı amaçlarla. Facianın ardından uzun süre yasaklanan Talidomid, yıllar sonra bazı özel hastalıklarda etkili olduğu keşfedilince yeniden, dikkatli şekilde kullanılmaya başlandı. Multipl Miyelom (bir tür kemik iliği kanseri) ve Lepra (cüzzam) kaynaklı ciddi deri lezyonları tedavisinde olumlu sonuçlar vermiştir. Ayrıca ilaç hakkında yapılan çalışmalarda ilacın hamilelerdeki toksik etkisinin gebeliğin 42. gününe kadar olduğu görülmüştür. yani talidomid anne karnındaki bebeğe her zaman zarar vermiyor genelde 20-22 günlük bir aralıkta etkilemektedir. Yİne de tabi hamilelikte farklı ilaç tercihleri kullanılmaktadır. Talidomid günümüzde hâlâ kullanılıyor ama sadece faydalı olan (R)-enantiyomer üretiliyor. Ancak bu form bile vücutta (S)-formuna dönüşebildiği için, ilacın kullanımı hamilelerde kullanımı yine sakıncalı. Bu olay, bize kiralite farkının hayati önemini gösterdi.
Peki enantiyomer nedir ? Kimyada "kiralite", bir molekülün ayna görüntüsünün kendisiyle çakışmaması durumudur. Tıpkı sağ ve sol el gibi düşünebilirsiniz Benzer görünürler ama üst üste koyamazsın işte buna "enantiyomer" denir. Bunu niye anlattım size peki çünkü bu durum ilaçlarda kiral analiz ve enantiyomer saflığının çok önemli olduğunu göstermekte. Mesela bu ilacın bir formu zararlı iken bir formu faydalı olabiliyor etkileri bambaşka olabiliyor.
Bu Olay Ne Öğretti?
İlaçların ruhsatlanması için güvenlik verilerinin ne kadar kritik olduğu anlaşıldı. Hamilelerde ilaç kullanımı konusu çok daha sıkı denetlenmeye başladı. İlaçların piyasaya çıkmadan önce insanlar üzerindeki uzun vadeli etkilerinin mutlaka test edilmesi gerektiği fark edildi. Ayrıca bilimin zararlı diye hemen bir şeyi çöpe atmadığını yapıaln araştırmalarla farklı yönünü keşfedebileceğimizi gösterdi ve belki de bu facia sonrası alınan önlemlerle daha büyük facialarının önüne geçildi.
Kaynak olarka Evrim Ağacı'nı kullansam da bu oldukça tıpta ve eczacılıkta bilinen konu büyük ölcüde kendi yorumlarımı katarak sadece temel bazı bilgileri doğru vermek için kaynağa ihtiyaç duydum.
Son düzenleme: